Mısır'da Türkiye ve Katar'ın da arabulucu olarak bulunduğu müzakerelerden varılan sonuçla İsrail-Hamas ateşkes anlaşmasını imzaladı.
İsrail hükümeti Gazze ateşkesinin yürürlüğe girmesi için kabineyi topladı. Kabineden çıkan kararla ateşkes onaylandı.
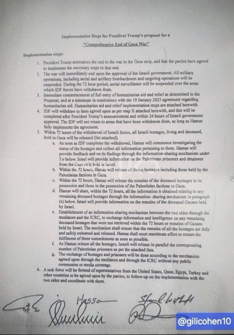
TASLAK METİN ORTAYA ÇIKTI
Bu arada İsrail hükümetinin onayından geçen taslak da basına sızdı.
İsrail ve Hamas, arasındaki tarihi anlaşmanın maddeleri içeren söz konusu belge ilk kez Sözcü TV ekranlarında yayımlandı.
Kararın arabuluculara bildireceği ve ateşkesin devreye girdiğinin duyurulacağı bildirilen metinde, ateşkesin açıklanmasından sonraki 24 saatte İsrail ordusunun güncellenen haritadaki hatlara çekileceği iddia edildi.
